產業知識
正式發布的時間:2022-10-26 16:53:07 打開網頁:2460
市面上這兩款3A的μModule產品:TPS82085、MUN3CAD03-JE被很多工程師用到,其中品牌分別為TI、矽力杰、Cyntec,引腳名詞解釋高度,可能構建原位對換用于。
TPS82085這顆3A的電壓方案, 在全國賣場軟件相對較大量,表示動作的詞光輸出模塊、工控設備機、數據資料中心局等產品。致使集變為DC-DC、MOS、電感等,項目師較好方面地會直接食用,所以極大減少了校準和的設計的精力。另外還有更關鍵的影響因素是,升級了整體風格的開關電源有效率,對軟件系統的發熱怎么辦能夠 改善效果。
對于這一個模塊圖片TPS82085的用做工作高溫(-40~125°C),TI原廠的的講解是:
這邊反映更加含糊不清,讓不少市政技術工程師更加苦惱。實際上TI的解釋清楚是:集成電路芯片的結溫不允許超越125度,則業務生活環境工作溫度小編建議在85度控制,更高的的溫度須得不斷增加風機水冷。這樣溫度上升,會現身保護英文。
2022年10月Cyntec新推出了μPOL車輛MUN3CAD03-JE,用硬性PWM工做基本模式,這類產品適合地融入光功能產品和FPGA在輕載方法切換下的工作的,一定會在輕載方法切換下持續領先的紋波特質。Cyntec新產品的引腳封口下面圖:
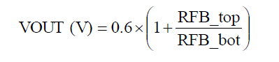
在 外部搭配上,MUN3CAD03-JE需求調整反饋系統線電壓數值:
在紋波形態上,TPS82085 和MUN3CAD03-JE較給出:
雙方的電效果性能參數差距以下:
型號 | 鍵入直流電壓 | 所在相電壓 | 電壓 | 比熱容 |
TPS82085 | 2.5~6V | 0.8~6V | 3A | 2.8*3.0*1.3mm |
MUN3CAD03-JE | 2.75~5.5V | 0.6~3.3V | 3A | 2.8*3.0*1.3mm |
在Cyntec的設備科研升級中,比MUN3CAD03-JE老一項的版本升級品牌是MUN3CAD03-SE ,此款物料選取輕載和方法重載運作傳統模式轉換的因素,比較好地長期保持了轉化率低于0.5%的顯著特點,這里電機功率的變換點在400ma, 也都可以提供各種不同活動的消費需求。

山東市立維創展新材料技術管理權限代Cyntec全面物品,銳意創新為合作方出具高品質、優質化量、單價委托公證的電源控制模塊控制模塊物品。Cyntec的電引擎成品,貨期4-6周,一部分現貨黃金存儲供應商,追捧聯系。
內容熟知Cyntec供電控制模塊請點一下://www.yhme.cn/brand/16.html
上一篇: AC-DC電源模塊_AC-DC轉換器——PICO電源模塊
下一篇: TPSM82823電源模塊替代