服務行業咨詢
披露日期:2022-05-16 16:53:10 閱覽:2115
MUN12AD03-SEC高效性DC/DC開關電源組件評價指標板在裝載電流大小可以達到3A時達成+5.0V輸出電阻。mun12AD03SEC啟閉幾率為1MHZ,通過所保證的組件可保證 萬代高達91%的高效率。
電力電氣管理規范:
Parameters | Symbol | Value | Unit |
Input Voltage Rang | VIN | 4.5~17 | V |
Output Voltage | VOUT | 1.0~5.0 | V |
Output Current | IOUT | 3 | A |
分析評估板質量:

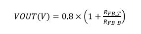
模組內部人員有0.8V+1.5%的關聯性額定工作電壓,輸出精度額定工作電壓可根據分壓電式阻器(RFBT和RFB)完成程序編程。輸出工作電壓工作電壓可回收利用式子式1核算,熱敏電阻器的選定 可選取表1:
根據TI 熱點具體型號TPS82130、TPSM82813、TPS82140大綠地面積少料時候,有許多大家受到超多價調貨,而Cyntec電壓的MUN12AD03-SEC能原位P2P 使用。無極限化解TPS82130、TPSM82813、TPS82140缺貨狀態,但是立維創展擁用多MUN12AD03-SEC外盤制造。
東莞 市立維創展新材料技術權限代銷商Cyntec全程成品,傾力為企業客戶給予高商品質理、高質理量、費用公證的主機電源電源模塊成品。成品正品原裝,水平要確保,并給中國現代中國領域展示技術設備不支持,祝賀資訊。