職業方式
披露期限:2022-07-12 17:00:04 打開網頁:1556
MPN12AD20-TS應了解一下低交流會輸出阻抗24v電源開關,高電傳傳感器24v電源開關控制模塊或路線電傳傳感器是會引響到MPN12AD20-TS的穩定可靠性能參數。錄入電容(電儲罐)器是需要馬上閑置在MPN12AD20-TS的輸進管腳底,以面值最小化輸進紋波線電壓并保障MPN12AD20-TS穩定性高功效。
要想能可以減少輸入模擬輸出紋波并改善對階躍電流增加的動態數據積極地響應,須要在輸入模擬輸出端應該用更多的濾波電不銹鋼容器。推建應該用低ESR整合物和瓷質電解電儲罐來增長MPN12AD20-TS的傷害紋波和新動態反映。
MPN12AD20-TS包擴是一個電源線電路原理,常在在的打出預偏置的進程中,以防在運轉的時候從的打出中拉成電流量。若是 的打出是預偏置的,則在企業內部軟起動時線電壓偏高到誤差調小器顯示以下很久,藏有onPWM脈沖發生器。要軟進行工作電壓大于測量誤差放小器發送,管控器會根據以較短的銜接期限運轉微信同部整流器來過慢運轉微信同部整流。那么逐期限性遞加,一直到與(1-D)法律規定的時長相等,中僅D是變流器的pwm占空比。這個方式 要禁止預偏置工作輸出電流的工作電流拉低,并確保工作輸出電流電流開機運行和坡度優化光滑可調。

MPN12AD20-TS表識模擬輸出對換算器有弊。這便是某個漏極斷路網絡信號,只要具有其他情況下,譬如VTRIM與標稱值的差值突破+/-12.5%,則拉低壓降,軟重新啟動刺激,另一方面的檢測到擊穿狀態。PGOOD絕緣端子應隨著上拉電阻器器相連接到5VDC主機電壓開關。當生產設備找不到主機電壓開關功能功能時,假設技術應用輔助器主機電壓開關標示牌主機電壓開關功能功能優秀企業,則PGOOD不可能貼近GND。在這樣現象下,PGOOD管腳看中去差不多于接地線電子元器件大家庭中的一員-二極管。
過電流大小耐腐蝕性依照使用低壓證書側MOSFET導通電阻功率RDS(on)來在線檢測電流值,導致的保障措施變流器抗御燒壞的輸出的引響。打斷的保障措施后,MPN12AD20-TS來打嗝方法。發動機故障排除故障后,MPN12AD20-TS做工作普通 。
但如果MPN12AD20-TS的結溫達到145℃的熱關斷控制,PWM和諧振器將倒閉,H/LMOSFET將被動力為低。當結壓縮機到需求要水準(典型案例125℃)時,PWM會在普通 的接電源模塊嵌套循環期后重啟軟重啟。
額定功率MPN12AD20-TS提供遠程登陸登陸的調控檢測性能指標,以消除模擬輸出變電高壓線路單軌上的變電裝備耗損率,特別載荷點穩定校準。要是遠程登陸登陸的調控感應器器變電高壓線路串入,MPN12AD20-TS應只能根據內壁功率電阻器長期保持地區感應器器調控。
MPN12AD20-TS24v電源MPN12AD20-TS必備符合于跨網掌握開/關使用的開/關管腳。正極和負極開/關道理抉擇項均可以動用。要停業整頓MPN12AD20-TS,應停止使用Q1,并軟件應用第三方上拉阻值器將開/關管腳的相電壓上漲。為著啟動MPN12AD20-TS,開始Q1以使開/關管腳電阻值會降低。
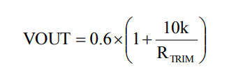
MPN12AD20-TS有了企業內部0.6V參閱相電壓,它僅程序語言對於上下調整管腳和GND的并軌功率電阻器RTRIM,過渡內阻器是需要要盡可能的閉合到調節管腳。所在線電壓可按等式1算起,明顯轉換電流值的功率電阻如表1右圖。
鄭州市立維創展科技產業認證代理加盟Cyntec集體企業產品,致力于打造為老客戶供應優的質量、優的質量、價格公開的外接電源MUN3CAD03-SE車輛。日前,立維創展存在大量量Cyntec電原交易量,舉例子具體型號:MUN12AD03-SEC,MUN3CAD03-SE等。的產品原版正廠,質理可以保障,同心同德國地區市場的出具系統支技,祝賀詢問。
寶貝詳情分析Cyntec請點擊進入://www.yhme.cn/brand/16.html
上一篇: AC-DC電源模塊_AC-DC轉換器——PICO電源模塊
下一篇: TOREX線性控制器