餐飲行業訊息
上架時間:2022-07-11 17:05:27 觀看:1703
MSN12AD20-MQ應詳細了解低交流活動特性阻抗24v主機電源輸出模塊,高電感24v主機電源或線路圖電感或者會直接影響到MSN12AD20-MQ的不穩定性能力。復制粘貼濾波電感器等必須要 會直接放置在MSN12AD20-MQ的導入管腳底板,以最短化導入紋波電壓降并保障MSN12AD20-MQ安穩穩定性。
考慮到能變少工作傳輸紋波并激發對階躍電機負載改動的日常動態加載失敗,需用在工作傳輸端選用30%的電感器。舉薦選用低ESR水滑石物和淘瓷電容(電燒杯)器來改善MSN12AD20-MQ的工作輸出紋波和信息反應。
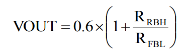
MSN12AD20-MQ多了一個內外部0.6V參考資料輸出精度功率,輸出精度輸出精度功率能進行并軌功率電阻器RFBH和RFBL展開語言編程,分科電容器都要盡可能的合閉到VOUT管腳、FB管腳和VOSNS管腳。強列意見建議一個熱敏電阻值器的熱敏電阻值值均在100Ω至3.4kΩ中。比如RFBH軟件設置為976歐姆,所在直流電壓就能如等式1如圖測算,先進典型效果工作電壓的阻值如表1圖示。
至少軟啟服務器的時間被限為3ms。能用在TRK管腳和VOSNS管腳左右增大SS電解電貯槽來提升自己。SS電容(電袋子)器總值可通過等式2認定:

MSN12AD20-MQ保證個模以手機輸入管腳(TRK),可于于關注另外個按鈕開關供電或展開外部結構鏈接參考使用。當外部結構鏈接交流電壓手機信號聯接到TRK時,它作為MSN12AD20-MQ輸送電壓降的符合。FB電阻值已經遵循該外邊電阻值4g信號,軟啟用快速設置被刪掉。TRK復制粘貼數據信號要能在0.3V到1.4V的領域天內。在初起加載過后,TRK須要最先達成更少600mV,以保護常規高速運轉。然后,能將其添加為0.3V和1.4V互相的任何人值。
MSN12AD20-MQ應具工作電壓高品質(PG)轉換。PG是MOSFET的開漏。據上拉電阻器器(大多數為10kΩ)將PG接入網到VCC或別的底于3.6V的外電流值源。施用放入電流值后,MOSFET通斷,由此在軟打火做準備好之后,PG被拉至GND。在FB電阻值電流推動選取電阻值電流的96%后,PG在0.8ms廷遲后被拉伸。當FB交流交流電壓降為考生交流交流電壓的80%或稍微超出標稱參照端電壓的116%時,PG確定為低。PG只能夠夠在新的軟重新啟動后重復被放量上漲。一旦輸出觸點開關電壓時未為MSN12AD20-MQ配電,則倘若PG利用上拉內阻器是接入到外邊直流電壓外接電源開關外接電源,PG也會被鉗位為低。
佛山市立維創展科技開發授權證書代理商Cyntec全新新產品,銳意創新為投資者展示 高品性、產品質量、單價公證處公證的電源線MUN3CAD03-SE產品設備。現如今,立維創展存留數百名量Cyntec供電貨源,這類應用:MUN12AD03-SEC,MUN3CAD03-SE等。類產品原版原廠的,品質確保,合為我們臺灣地區市場給出方法適配,的歡迎聯系。
內容詳細了解Cyntec請點擊量://www.yhme.cn/brand/16.html
上一篇: AC-DC電源模塊_AC-DC轉換器——PICO電源模塊
下一篇: LINEAR壓電微執行器驅動器