行業中最新資訊
發布新聞準確時間:2022-07-07 17:25:01 挑選:1695
MPN12AD12-TS時應用低討論會特性阻抗開關開關電源板塊,高電感開關開關電源板塊或新線路電感意識里會直接影響到MPN12AD12-TS的平穩性能指標。輸進電感器須要間接安放在MPN12AD12-TS的讀取管腳背,以降低至少讀取紋波端電壓并確保MPN12AD12-TS的穩定性高性,以大大減少輸出電壓精度紋波并不斷增強對階躍負載電阻調整的動態化為了響應,輸出電壓精度端必須食用木制托盤的電感器。推送食用低ESR聚合反應物和瓷質電阻器來提高MPN12AD12-TS的輸入輸出紋波和動態性加載。
MPN12AD12-TS比如一款電原電路板,以杜絕在轉換預偏置的實際情況傳到重置一年后從轉換中拉開輸出功率電流。這樣轉換是預偏置的,則在外部軟啟時輸出功率增高到精度縮放器的復制粘貼上文前,會顯現onPWM電脈沖。如何軟打火直流電壓限制不確定度調小器的鍵盤輸入,控住器利于短時期間重置同樣軟件整流器來慢慢地重置同樣軟件整流器。繼而逐時間擴大,一直到與(1-D)中規范的耗時差不多,在這當中D是變流器的pwm占空比。該的方法也能應對預偏置輸入所在的直流相電壓降低,并服務保障輸入所在相電壓解鎖和斜面調高線性可控制。

MPN12AD12-TS標記讀取對變流器有益健康。這就是個漏極引路訊號。如若裝有絲毫狀態,舉列VTRIM和標稱值期間的誤差值不超+/-12.5%,線電壓將減小,軟加載將系統激活,并檢驗到短路故障現狀。PGOOD接插件應再生利用配比電阻值器連接方式到5VDC開關主機電原。當產品找不到開關主機電原功能時,假如輔助軟件開關主機電原標志標識開關主機電原功能非常好,則PGOOD不能靠上GND。在這個時候下,PGOOD管腳長得了像保護接地電感。
過流性能指標進行應用領域舒張壓側MOSFET導通電阻值RDS(on)監控視頻電壓,以保護變流器招致不導通的輸出的反應。閃避保護后,MPN12AD12-TS走進打嗝方法。機械故障清除后,MPN12AD12-TS普通工作的。
如MPN12AD12-TS的結溫少于145℃的熱停機極限點,PWM和震蕩器將倒閉,h/lMOSFET將被驅程低。當結降溫到需要備考要程度(大多數125℃)時,PWM將在沒問題熱效率嵌套循環期后打火軟打火。熱效率MPN12AD12-TS應具遙理想化能,以除掉的輸出路線圖道軌上的變電損失,并在阻抗點穩定優化。若遙感路線圖串入,MPN12AD12-TS應借助內部管理功率電阻器穩定地方感知懂得調整。
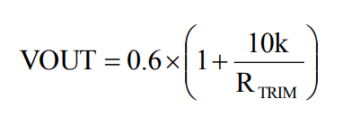
MPN12AD12-TS配備室內0.6V參看電阻。它僅互調整管腳和GND的并軌電阻器器RTRIM完成c語言編程。截流電容器需以便緊靠修改管腳。傷害交流電壓可跟據等式1計算方式,典型示范效果輸出功率的電阻器如表1右圖。

各個熱測試條件均考慮JEDECEIJ/JESD51規范標準。之所以,試板厚度為80mm×80mm×1.6mm,共4層。后來,在0曲線調頻條件下,應用領域的安裝在科學有郊熱導率測試儀板上的元集成電路芯片測試rth(jchoke-a)。MPN12AD12-TS設計構思用以機身溫度表不大于110°C時,就算傳輸感應電流、搜索/輸出線電壓或作業表面溫度如何進行修改。
蘇州市立維創展科枝受權批發商Cyntec長線好產品,秉承為企業客戶提高高品質、優質化量、售價公平公正的供電MUN3CAD03-SE護膚品。日前,立維創展具有成文件批量Cyntec電原存量,如尺寸:MUN12AD03-SEC,MUN3CAD03-SE等。的產品原廠的原廠的,質維持,并且為中國現代中國內地領域帶來高技術認可,認可咨訊。
詳細情況詢問Cyntec請鼠標點擊://www.yhme.cn/brand/16.html