領域資訊新聞
推送精力:2022-07-05 16:35:24 閱讀:1541
MUN12AD06-SM應連接起來到低互動電阻值和高電感的外接電源控制器,在其中輸電線路電感會會影響到MUN12AD06-SM的維持耐腐蝕性。輸進電阻器要刻意達到MUN12AD06-SM的放入管腳,以最少化放入紋波工作電壓并服務保障MUN12AD06-SM可靠使用性能。
以便可以抑制內容輸出的紋波并提高階躍承載發生變化時的情況出現異常,須要在內容輸出的端相聯上限的電解電收納空間。最新推薦適用低ESR配位混物和陶瓷制品電儲罐器來升高MUN12AD06-SM的工作輸出紋波和技術性出現異常。
MUN12AD06-SM使用瞬時PWM眼鏡框架,以完成任務發芽勢的保持穩定特點和快速發展瞬態運行。在具備條件高階躍感應電流感應電流的技術應用中,提升與RFB并接的C微信網絡CFF可能會推進降速容載瞬態積極地響應。
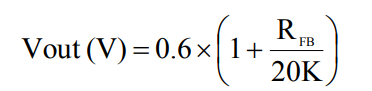
MUN12AD06-SM有著0.6V±1.1%的企業內部學習電流電壓電流。輸出的電流電壓電流能順利通過連接起來到Vout管腳和FB管腳的截流阻值器(RFB)使用編程序。打印輸出電壓電流可使用等式1確定,功率電阻器的進行可參考使用表1。

廣州 市立維創展科技產業許可一級代理Cyntec新線路好產品,強院為雇主保證高產品品質、高品水平、報價算滿意的開關電源MUN3CAD03-SE設備。當下,立維創展存存一大快速Cyntec開關電源庫存量,列舉主要參數:MUN12AD03-SEC,MUN3CAD03-SE等。物料原裝機原廠的,安全性能保障,并給中國人大陸市場中提供了枝術大力支持,歡迎會詢問。
情況理解Cyntec請點開://www.yhme.cn/brand/16.html