業信息資訊
發布新聞時間段:2022-06-23 16:57:55 看:1565
MUN3CAD03-SE應連接到低互動阻抗匹配開關電源開關功能模塊,高電感開關電源開關或風格電感應該會干預MUN3CAD03-SE的安全穩定性能參數。陶瓷圖片電阻符合感應電流偏置邊際效應,感應電流偏置邊際效應對既定科學適宜電阻器有巨大干擾。結合實際其二極管封裝外形尺寸和功率感應電流,細細選定恰當的電阻器。抓好導入科學適宜電阻器最好不要為6μF,的輸出合理安排濾波電不銹鋼容器少于為18μF。
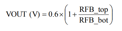
MUN3CAD03-SE的輸出工作電壓可可根據分壓電式阻器RFB\Utop和RFB\Ubot滿足java開發,假定RFB\Utop布置為200千歐,輸出精度電壓電流可按工式1估算,據類型效果電阻功率值的電阻功率如下如下表如下。

各種的熱應力測試具體條件均充分滿足JEDECEIJ/JESD51標。所以說,疲勞試驗板盡寸為30mm×30mm×1.6mm,4層2oz。在0LFM條件下,使用裝在科學合理熱導率測試測試板上的部位側量Rth(jchoke-a)。MUN3CAD03-SE構思用到金屬外殼室內溫度大于125°C時運用,不管是導出電流大小、復制粘貼/輸出的相電壓或本職工作攝氏度要怎么發生變化。
西安市立維創展現代科技授權許可代銷商Cyntec滬杭鐵路貨品,銳意創新為加盟商具備高品格、優質化量、價值公平的電壓MUN3CAD03-SE設備。現今,立維創展裝有大規模量Cyntec供電貨存,譬如形號:MUN12AD03-SEC,MUN3CAD03-SE等。廠品原版原裝,質量可以保障,合為中內地茶葉市場展示枝術支持系統,歡迎會詳詢。
內容掌握Cyntec請點擊進入://www.yhme.cn/brand/16.html