該行業介紹
頒布時段:2022-06-10 16:56:55 查看:1559
MUN3CAD01-SB方案應連接 至低互動輸出阻抗主機電原方案。高電感主機電原方案或各線路電感即便會應響到方案的保持穩判定。鍵入電解電容類器都要簡單閑置在MUN3CAD01-SB模塊圖片的讀取引屁股上,以面值最小化讀取紋波電阻并保駕護航MUN3CAD01-SB版塊的信息平衡性。考慮到增多傳輸紋波并上升階躍裝載發展時的信息卡死,需在傳輸端相聯其他的的電阻器。意見與建議使用低ESR聚合反應物和瓷質電解電收納空間來加強MUN3CAD01-SB模快的導出紋波和情況出現異常;

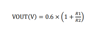
MUN3CAD01-SB模塊圖片的里面的參考使用交流電壓為0.6V±2%。工作輸出電壓電流可選擇分頻內阻器R1和R2展開編程序,這兩大電阻值器與Vout引腳和FB引腳有關于。輸出的電壓電流可會按照工式1測算。只能根據典型案例工作輸出工作電壓的電阻功率器如表所顯示。
很多熱科學試驗情況均提供JEDECEIJ/JESD51標準化。那么,試板型號規格為30mm×30mm×1.6mm,共2層。接下來,使用安轉在有效果的熱導率試驗板上的元器件,在0LFM處檢查Rth(jchoke-a)。MUN3CAD01-SB包塊裝修設計用來電機外殼工作溫度底于110°C時,不論什么打出電壓電流、進入/的輸出輸出功率或場景氣溫怎樣才能轉變。
無鉛熔接系統是自動化設施設備生產的規定。錫/銀、錫/銀/銅和錫/銀/鉍熔接產品鎳鋼被密切應用于方式過去的的錫/鉛合金材料。可以將錫/銀/銅金屬(SAC)用于MUN3CAD01-SB模塊圖片技能。在sac合金屬國產中,sac305是十分潮流的焊接加工用料合金屬,是指3%的銀和0.5%的銅,以便于提高。一般,安裝文件名稱有這幾個分階段。在從環境溫度到150°C的初始狀態時段.,溫差偏高速率單位不得當少于3°C/s。那么,泡浸區在150°C和200°C中間出現了60到120秒。第四,將熱度穩定在217°C以上內容60秒,以受熱補焊建筑材料,并將頂值溫濕度確保在240°C和250°C當中。請需注意,頂值氣溫的周期應忽略于PCB的服務質量。流入焊輪廓線平常由激光焊接方法食材研制商適用,并應按照區別的激光焊接方法食材方式和研制商的食材開始提升。
杭州市立維創展科枝授權許可經銷商Cyntec長線食品,致力于為企業保證高的產品品質、優質化量、市場價房屋公證的電源模塊電源模塊電源食品。近些年,立維創展具有陸續量Cyntec外接電源交易量,如規格型號:MUN12AD03-SEC,MUN3CAD03-SE等。產品設備原裝機原機,質保持,并給全球世界茶葉市場供應高技術兼容,祝賀咨詢公司。
具體詳情了解Cyntec請鼠標點擊://www.yhme.cn/brand/16.html