這個行業新聞
正式發布時間段:2022-05-30 16:41:21 網頁瀏覽:1112
評價指標板適用于MUN12AD03-SM,高效DC/DC電源模塊。評估板在負載電流高達3A時行成+5.0V輸出電壓。輸出設置電阻器RX可以調整,以評估不同的輸出電壓。MUN12AD03-SM開關頻率為1MHz,使用提供的元器件封裝可實現高達93%的效率。
電器標準:
Parameters | Symbol | Value | Unit |
Input Voltage Range | VIN | 4.5~16 | V |
Output Voltage | VOUT | 5.0 | V |
Output Current | IOUT | 3 | A |
EVALUATION BOARD & EFFICIENCY::

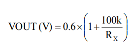
模擬輸出端電壓VOUT可進行變動RX(R6~R9)參與代碼編程。
佛山市立維創展現代科技受權代理加盟Cyntec全面好護膚品,銳意創新為客服作為高茶葉品質、優質化量、單價公開的電源開關模組好護膚品。好護膚品原版trw,重量確認,同心同德中國有地區專業市場作為技術應用支持系統,誠邀資詢。
內容要了解MUN12AD03-SM請鼠標點擊://www.yhme.cn/product/3002.html