職業知識
發布消息時:2022-05-17 17:01:46 瀏覽訪問:1790
MUN3CAD03-SE端電壓適配器板塊應連接方式至低交流會阻抗匹配端電壓適配器,高電感端電壓適配器或電線電感或者會印象到端電壓適配器板塊的安全性。瓷質電阻(電袋子)器具有直流端電壓偏置滯后效應,這對結果英文更有效電阻(電袋子)有好大印象。具體決定不宜的電阻(電袋子)器,并要考慮其封裝金橋銅業跨接線的截面積大小長寬比和載荷系數端電壓。狠抓投入科學規范電阻(電袋子)更少為6μF,的輸出高效率的電容器少則為18μF。
高壓電器型號:
Parameters | Symbol | Value |
Input Voltage | VIN | 2.75V~5.5V |
Output Voltage | VOUT | 0.6V~3.3V |
Output Current | IOUT | 3A |
Enable Voltage | EN | 1.2V~5V |
External VDD | VDD | 3.3V~5V |

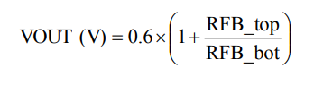
符合用在MUN3CAD03-SE可調式式Vout傳奇。工作輸出線電壓可可以通過分電容式阻器RFB_top和RFB_bot推動編程序,選用RFB_top快速設置為200千歐,效果直流電壓可按表格函數1算起,要根據基本特征導出相電壓的電容如表1圖甲中。
TI開關電源信息模塊TPS82085鑒于非常好的效果和小體積太,廣受之多工程項目用戶青睞,但倘若交期心理緊張,TPS82085只首先打理較大型朋友的需求分析。
Cyntec電壓模快依托于高性價比指標、小體積計算的整個市場意愿,于2021年制定新車輛MUN3CAD03-SE,因其達到94%的電源適配器生產率,在短時間內提升茶葉市場的認定,在鋰容量電池、的阿里云服務器、AI快速卡、光引擎等科技領域要經過嚴格的應運驗證。以及全部pin to pin使用TPS82085。
TPS82085與MUN3CAD03-SE的主要參數十分相應:
形號 | 輸出電壓電流 | 傳輸電壓電流 | 直流電 | 轉化率 |
TPS82085 | 2.5~6V | 0.8~Vin | 3A | 95% |
MUN3CAD03-SE | 2.75~5.5V | 0.6~3.3V | 3A | 94% |
杭州市立維創展網絡許可代理商Cyntec全部物料,銳意創新為企業能供應高好品質、高性能量、價額委托公證的外接電源板塊物料。物料原裝入口入口,性能要確保,合為中國國大陸臺灣市場能供應高技術幫助,青睞了解和咨詢。
情況分析MUN3CAD03-SE請打開://www.yhme.cn/article/3252.html