服務行業知識
發部準確時間:2021-11-04 17:10:10 訪問:2890
TI的電源模塊TPS82130SILR由于大面積缺貨,而Cyntec的uPOL電源模塊優異的封裝和性能,已經被眾多客戶pin to pin替代。
在現實情況的的安全使用中,意義較多建設項目師反饋系統的技術設備設備要素,小編歸類2點技術設備設備的安全使用軟文筆記都增加一下:
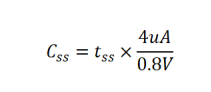
1.MUN12AD03-SEC的SS軟起動的運算的與TPS82130SILR有差異,即上電時序特殊要求不同的。決定性運算的數學公式如下所示。
Soft Startup Capacitor Selection
Leave SS pin floating for default 1ms soft-start time. For longer than 1ms soft-start time, connect a
capacitance between the SS pin and the GND allows programming the startup slope of the output
voltage. A constant current of 4μA charges the external capacitor. The capacitance required for a given
soft startup time for the output voltage is given by Equation 2:

2.TPS82130SILR現在才知道工作輸出端接的L22電感/磁珠,MUN12AD03-SEC則不都要。如安全使用這樣電感/磁珠,則有可能會造成turn off時 Vout出現另一個股票震蕩,其實都不會后果安全使用。內似弧形一下圖。
比較多就Cyntec食品技術水平詳情,請咨訊.我的工作師。
河南市立維創展科學授權文件選擇Cyntec全程新車輛,全力為雇主提拱高是投資者們高品質、高品品質、價公平公正的電源適配器版塊新車輛。新車輛原裝機進口的,品質確定,合為全球國內市場中提拱高技術鼓勵,感謝咨詢公司。
淘寶手機端熟知Cyntec電壓控制模塊請鼠標單擊://www.yhme.cn/brand/16.html