互聯網行業信息資訊
更新時間間隔:2018-12-06 11:02:13 瀏覽器:7953
|
低調 0.3“高度 高達4瓦
無散熱片或 選項可用
|
典型特征:
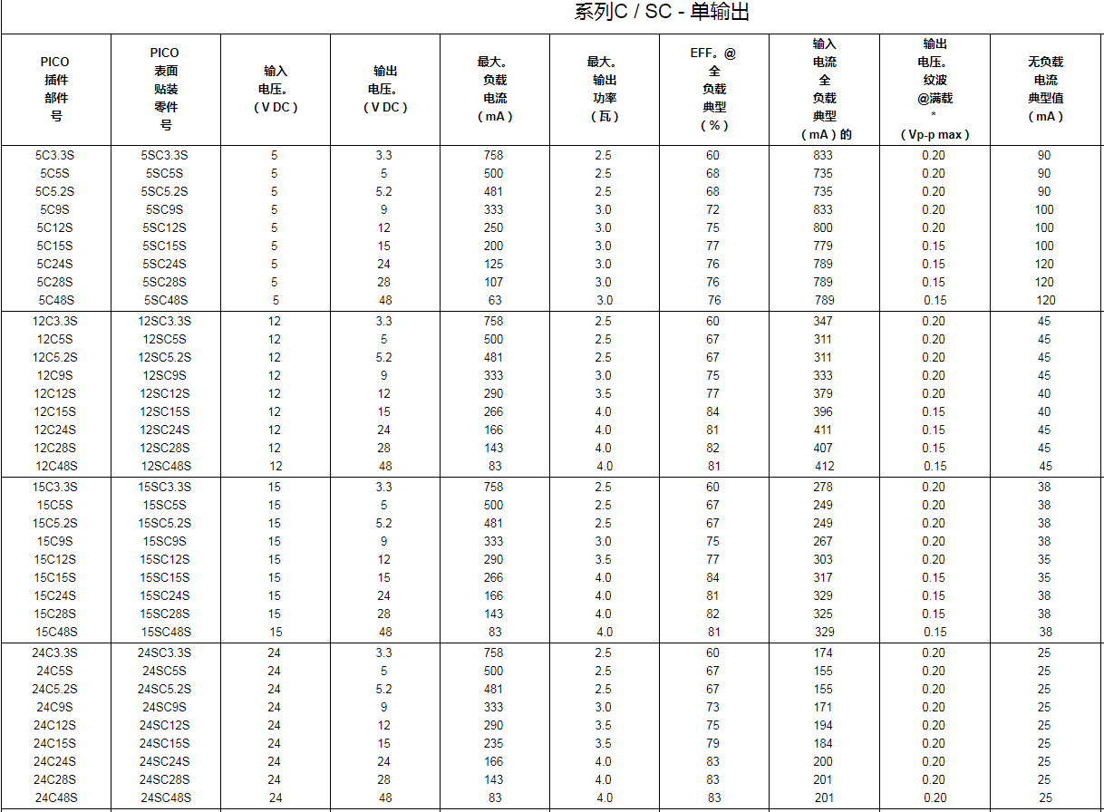
檢查水平:必須另有說明怎么寫,那樣大環境溫濕度為25oC,復制粘貼相電壓為特殊值。 火車線路玩法:插入輸出直觀與插入相比較應。 設置直流電壓面積: 5V型號規格:4至6.5V DC 12V主要參數:9至15V DC 15V應用:12至18V DC 24V型號規格:17至28V DC 28V具體型號:21至31V DC 48V形號:25至50V DC 滿艙時的打出線電壓容差: 5V款型±0.25V 9V應用±0.3V 12V和15V型號查詢±0.4V 24V和28V材質±0.5V 48V機型±0.7V 換算器平率: 20至40 KHz 輸出精度氣溫指數公式: 0.02%/oC 工作上高溫: -25oC至+70oC環鏡體溫。不必須要 水冷器。 吸收水溫: -55oC至+125oC 隔離: 100兆歐min。@ 500V DC 短路等問題護理: 被臨時
|
型號以及參數

仍然通篇不多,大量的超長安小型直流電隔絕式DC-DC裝換器性能指標型號包括技巧認可,請點擊量右面客服熱線取得聯系公司!!!
太多對應的DC-DC轉換成器護膚品,請鼠標點擊:
低壓薄型DC-DC電源模塊微型封裝單輸出100 至500 V
2.5W小型封裝高可靠性隔離式DC-DC電源模塊3.3 - 48 V